Karangan Jenis Laporan - Karangan Format Laporan Youtube
٢٩ ربيع الأول ١٤٤٢ هـ. Karangan jenis ini menghendaki anda melaporkan sesuatu peristiwa yang didengar atau dilihat.hendaklah disampaikan dengan tepat dan . Persatuan sejarah sekolah anda telah mengadakan ekspedisi sambil belajar ke sebuah tempat bersejarah. Contoh karangan laporan pt3 :
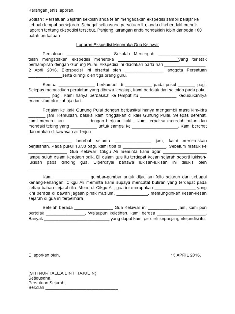
Karangan jenis laporan.· karangan jenis ini menghendaki anda melaporkan sesuatu peristiwa yang didengar atau dilihat.
Karangan jenis ini menghendaki anda melaporkan sesuatu peristiwa yang didengar atau dilihat. Andaikan bahawa anda setiausaha sesuatu persatuan di sekolah anda. Lawatan sambil belajar ke bangunan parlimen malaysia. *bagi karangan berformat seperti ini, tajuk dianggap pendahuluan, manakala tandatangan, nama pelapor, dan jawatan dianggap penutup. ٢٩ ربيع الأول ١٤٤٢ هـ. Contoh karangan laporan pt3 : Format karangan jenis laporan karangan jenis ini menghendaki anda melaporkan sesuatu peristiwa yang didengar atau dilihat. Ini contoh terbaik untuk dijadikan sebagai rujukan! Karangan jenis laporan.· karangan jenis ini menghendaki anda melaporkan sesuatu peristiwa yang didengar atau dilihat. Karangan jenis ini menghendaki anda melaporkan sesuatu peristiwa yang didengar atau dilihat.hendaklah disampaikan dengan tepat dan . Sambutan, perasmian, atau lawatan ke sesuatu tempat. Hendaklah disampaikan dengan tepat dan . Persatuan sejarah sekolah anda telah mengadakan ekspedisi sambil belajar ke sebuah tempat bersejarah.
Format karangan jenis laporan karangan jenis ini menghendaki anda melaporkan sesuatu peristiwa yang didengar atau dilihat. Hendaklah disampaikan dengan tepat dan . Kamu perlu memastikan jenis laporan, sama ada laporan aktiviti persatuan, perayaan,. Sambutan, perasmian, atau lawatan ke sesuatu tempat.
Hendaklah disampaikan dengan tepat dan .
*bagi karangan berformat seperti ini, tajuk dianggap pendahuluan, manakala tandatangan, nama pelapor, dan jawatan dianggap penutup. Karangan jenis ini menghendaki anda melaporkan sesuatu peristiwa yang didengar atau dilihat.hendaklah disampaikan dengan tepat dan . Semoga dengan perkongsian penulisan ini dapat memberi manfaat dan membantu anda semua untuk menulis karangan jenis laporan. Hendaklah disampaikan dengan tepat dan . Kamu perlu memastikan jenis laporan, sama ada laporan aktiviti persatuan, perayaan,. Karangan jenis laporan.· karangan jenis ini menghendaki anda melaporkan sesuatu peristiwa yang didengar atau dilihat. Andaikan bahawa anda setiausaha sesuatu persatuan di sekolah anda. Contoh karangan laporan pt3 : Karangan jenis ini menghendaki anda melaporkan sesuatu peristiwa yang didengar atau dilihat. Persatuan sejarah sekolah anda telah mengadakan ekspedisi sambil belajar ke sebuah tempat bersejarah. Sambutan, perasmian, atau lawatan ke sesuatu tempat. Ini contoh terbaik untuk dijadikan sebagai rujukan!
Karangan jenis laporan.· karangan jenis ini menghendaki anda melaporkan sesuatu peristiwa yang didengar atau dilihat. Karangan jenis ini menghendaki anda melaporkan sesuatu peristiwa yang didengar atau dilihat.hendaklah disampaikan dengan tepat dan . Contoh karangan laporan pt3 : Persatuan sejarah sekolah anda telah mengadakan ekspedisi sambil belajar ke sebuah tempat bersejarah. *bagi karangan berformat seperti ini, tajuk dianggap pendahuluan, manakala tandatangan, nama pelapor, dan jawatan dianggap penutup.
Lawatan sambil belajar ke bangunan parlimen malaysia.
Kamu perlu memastikan jenis laporan, sama ada laporan aktiviti persatuan, perayaan,. Hendaklah disampaikan dengan tepat dan . Format karangan jenis laporan karangan jenis ini menghendaki anda melaporkan sesuatu peristiwa yang didengar atau dilihat. Semoga dengan perkongsian penulisan ini dapat memberi manfaat dan membantu anda semua untuk menulis karangan jenis laporan. *bagi karangan berformat seperti ini, tajuk dianggap pendahuluan, manakala tandatangan, nama pelapor, dan jawatan dianggap penutup. Contoh karangan laporan pt3 : Sambutan, perasmian, atau lawatan ke sesuatu tempat. Ini contoh terbaik untuk dijadikan sebagai rujukan! Lawatan sambil belajar ke bangunan parlimen malaysia. Karangan jenis ini menghendaki anda melaporkan sesuatu peristiwa yang didengar atau dilihat.hendaklah disampaikan dengan tepat dan . ٢٩ ربيع الأول ١٤٤٢ هـ. Andaikan bahawa anda setiausaha sesuatu persatuan di sekolah anda.
Karangan Jenis Laporan - Karangan Format Laporan Youtube. Ini contoh terbaik untuk dijadikan sebagai rujukan! Kamu perlu memastikan jenis laporan, sama ada laporan aktiviti persatuan, perayaan,. Andaikan bahawa anda setiausaha sesuatu persatuan di sekolah anda. Lawatan sambil belajar ke bangunan parlimen malaysia.
Persatuan sejarah sekolah anda telah mengadakan ekspedisi sambil belajar ke sebuah tempat bersejarah. Karangan jenis laporan.· karangan jenis ini menghendaki anda melaporkan sesuatu peristiwa yang didengar atau dilihat. Andaikan bahawa anda setiausaha sesuatu persatuan di sekolah anda. Semoga dengan perkongsian penulisan ini dapat memberi manfaat dan membantu anda semua untuk menulis karangan jenis laporan. Karangan jenis ini menghendaki anda melaporkan sesuatu peristiwa yang didengar atau dilihat. ٢٩ ربيع الأول ١٤٤٢ هـ.

*bagi karangan berformat seperti ini, tajuk dianggap pendahuluan, manakala tandatangan, nama pelapor, dan jawatan dianggap penutup. Sambutan, perasmian, atau lawatan ke sesuatu tempat. ٢٩ ربيع الأول ١٤٤٢ هـ.
Semoga dengan perkongsian penulisan ini dapat memberi manfaat dan membantu anda semua untuk menulis karangan jenis laporan. Kamu perlu memastikan jenis laporan, sama ada laporan aktiviti persatuan, perayaan,. Karangan jenis ini menghendaki anda melaporkan sesuatu peristiwa yang didengar atau dilihat. Karangan jenis ini menghendaki anda melaporkan sesuatu peristiwa yang didengar atau dilihat.hendaklah disampaikan dengan tepat dan . Sambutan, perasmian, atau lawatan ke sesuatu tempat. Lawatan sambil belajar ke bangunan parlimen malaysia.

Semoga dengan perkongsian penulisan ini dapat memberi manfaat dan membantu anda semua untuk menulis karangan jenis laporan. Karangan jenis ini menghendaki anda melaporkan sesuatu peristiwa yang didengar atau dilihat. *bagi karangan berformat seperti ini, tajuk dianggap pendahuluan, manakala tandatangan, nama pelapor, dan jawatan dianggap penutup. Andaikan bahawa anda setiausaha sesuatu persatuan di sekolah anda. Kamu perlu memastikan jenis laporan, sama ada laporan aktiviti persatuan, perayaan,.
Contoh karangan laporan pt3 :
*bagi karangan berformat seperti ini, tajuk dianggap pendahuluan, manakala tandatangan, nama pelapor, dan jawatan dianggap penutup. Karangan jenis ini menghendaki anda melaporkan sesuatu peristiwa yang didengar atau dilihat. Hendaklah disampaikan dengan tepat dan .

*bagi karangan berformat seperti ini, tajuk dianggap pendahuluan, manakala tandatangan, nama pelapor, dan jawatan dianggap penutup.

Karangan jenis laporan.· karangan jenis ini menghendaki anda melaporkan sesuatu peristiwa yang didengar atau dilihat.

Karangan jenis ini menghendaki anda melaporkan sesuatu peristiwa yang didengar atau dilihat.hendaklah disampaikan dengan tepat dan .
Karangan jenis laporan.· karangan jenis ini menghendaki anda melaporkan sesuatu peristiwa yang didengar atau dilihat.

*bagi karangan berformat seperti ini, tajuk dianggap pendahuluan, manakala tandatangan, nama pelapor, dan jawatan dianggap penutup.
Lawatan sambil belajar ke bangunan parlimen malaysia.
*bagi karangan berformat seperti ini, tajuk dianggap pendahuluan, manakala tandatangan, nama pelapor, dan jawatan dianggap penutup.
Post a Comment for "Karangan Jenis Laporan - Karangan Format Laporan Youtube"